Aceleración y tensión en la cuerda que une dos cuerpos (6548)

, por F_y_Q

En una mesa hay un taco de madera de 500 g unido, mediante un hilo que pasa por una polea de masa despreciable, a una pesa de 250 g que cuelga. Si el coeficiente de rozamiento entre el taco y la mesa es 0.25, calcula:

a) La aceleración del sistema.

b) La tensión de la cuerda.

P.-S.

En primer lugar es importante dibujar todas las fuerzas presentes en el sistema y establecer un sentido de movimiento:

(Si clicas en la miniatura verás el esquema con más detalle).

a) Las fuerzas que están en el sentido del movimiento son las que debes tener en cuenta para aplicar la segunda ley de la dinámica:

\vec p_1 + \vec T_2 - \vec T_1 - \vec F_R = (m_1 + m_2)\cdot a

Las tensiones de la cuerda son un par de fuerzas de acción-reacción aplicadas sobre ella, por lo que podemos considerar que suma vectorial es cero y la ecuación nos queda como:

\color[RGB]{2,112,20}{\bm{\vec{p}_1 - \vec{F}_R = (m_1 + m_2)\cdot a}}

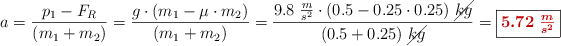
Solo tienes que despejar el valor de aceleración y sustituir:

a = \frac{p_1 - F_R}{(m_1 + m_2)} = \frac{g\cdot (m_1 - \mu\cdot m_2)}{(m_1 + m_2)} = \frac{9.8\ \frac{m}{s^2}\cdot (0.5 - 0.25\cdot 0.25)\ \cancel{kg}}{(0.5 + 0.25)\ \cancel{kg}} = \fbox{\color[RGB]{192,0,0}{\bm{5.72\ \frac{m}{s^2}}}}


b) La tensión de la cuerda la obtienes si aislas uno de los cuerpos. El más fácil es el cuerpo 1 porque solo hay dos fuerzas sobre él:

\vec p_1 - \vec T_1 = m_1\cdot a\ \to\ \color[RGB]{2,112,20}{\bm{T_1 = m_1(g + a)}}

Solo tienes que sustituir y calcular:

T = 0.25\ kg\cdot (9.8 + 5.72)\ \frac{m}{s^2} = \fbox{\color[RGB]{192,0,0}{\bf 3.88\ N}}