Aceleración y tensión en la cuerda que une dos cuerpos (254)

, por F_y_Q

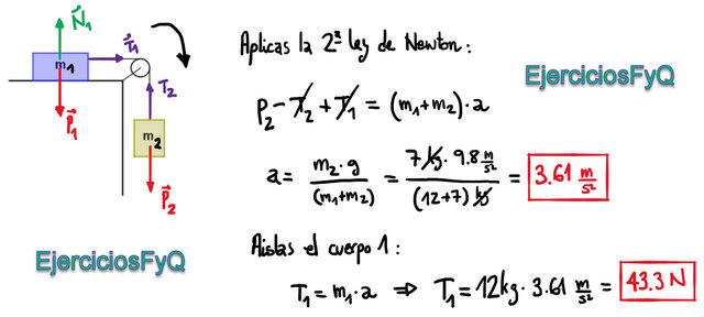
En el sistema de la figura no hay rozamiento y las masas de los cuerpos son m_1 = 12\ kg y m_2 = 7\ kg. Dibuja todas las fuerzas presentes en el sistema y calcula la aceleración con la que se mueve y la tensión de la cuerda

P.-S.

A no haber rozamiento la resolución del problema no tiene en cuenta las fuerzas que tienen dirección vertical sobre el cuerpo 1 y esto es importante que lo tengas en cuenta.

\fbox{\color[RGB]{192,0,0}{\bm{a = 3.61\ \frac{m}{s^2}}}}

\fbox{\color[RGB]{192,0,0}{\bf T = 43.3\ N}}

Puedes ver la resolución del problema con más detalle si clicas en la miniatura: