Aceleración que adquiere un cuerpo al recibir una fuerza durante un tiempo por determinar (1047)

, por F_y_Q

Un cuerpo de masa 18 kg se desplaza con una velocidad de 32\ m\cdot s^{-1} cuando recibe una fuerza, con la misma dirección y sentido de su movimiento, de 12.5 N. Si la velocidad que adquiere es de 50\ m\cdot s^{-1}, ¿cuál es la aceleración que ha experimentado? ¿Qué intervalo de tiempo actuó la fuerza?

P.-S.

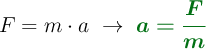
A partir de la segunda ley de la dinámica puedes calcular la aceleración que sufre el cuerpo, dado que conoces la fuerza que se le aplica y su masa:

F = m\cdot a\ \to\ \color[RGB]{2,112,20}{\bm{a= \frac{F}{m}}}

Sustituyes y calculas:

a = \frac{12.5\ N}{18\ kg} = \fbox{\color[RGB]{192,0,0}{\bm{0.7\ m\cdot s^{-2}}}}


El tiempo que actúa la fuerza lo puedes calcular de dos modos distintos: a partir de la aceleración y la variación de la velocidad; o a partir de la variación de la cantidad de movimiento. Para que tengas todas las posibilidades, te muestro los dos modos de resolverlo.

A partir de la aceleración y la variación de la velocidad:

Tienes en cuenta la definición de aceleración:

a = \frac{v_f - v_0}{t}\ \to\ t = \frac{v_f - v_0}{a}\ \to\ t = \frac{(50 - 32)\ \cancel{m}\cdot \cancel{s^{-1}}}{0.7\ \cancel{m}\cdot s^{{\cancel{-2}}}} = \fbox{\color[RGB]{192,0,0}{\bf 25.7\ s}}


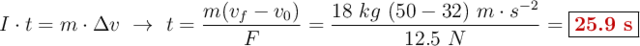
A partir de la variación de la cantidad de movimiento:

Para ello tienes en cuenta la definición de impulso mecánico:

I\cdot t = m\cdot \Delta v\ \to\ t = \frac{m(v_f - v_0)}{F} = \frac{18\ kg\ (50 - 32)\ m\cdot s^{-2}}{12.5\ N} = \fbox{\color[RGB]{192,0,0}{\bf 25.9\ s}}


La mínima diferencia entre los resultados se debe al redondeo de los decimales en el cálculo del tiempo.