Aceleración media de un móvil 0001

, por F_y_Q

Calcula la aceleración media de un móvil que pasa de una velocidad de 80 km/h a una de 120 km/h en 8 s.

P.-S.

La aceleración sería:

a = \frac{v_f - v_0}{t} = \frac{(120 - 80) km/h}{8\ s} = \frac{40\ km/h}{8\ s}


Parece claro que hay un problema con las unidades, porque la velocidad y el tiempo no son homogéneas. Se puede resolver este inconveniente si hacemos un cambio de unidades en la velocidad:

40\frac{km}{h}\cdot \frac{10^3\ m}{1\ km}\cdot \frac{1\ h}{3\ 600\ s} = 11,11\frac{m}{s}


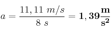
Ahora nuestra aceleración nos queda:

a = \frac{11,11\ m/s}{8\ s} = \bf 1,39\frac{m}{s^2}