Aceleración en función de la variación de velocidad 0001

, por F_y_Q

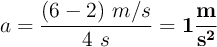
Un ciclista se mueve con un movimiento uniforme y varía su velocidad desde los 2 m/s a los 6 m/s en cuatro segundos. ¿Cuál es el valor de la aceleración con la que se mueve?

P.-S.

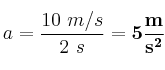
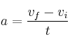
Para calcular la aceleración usamos la expresión: a = \frac{v_f - v_i}{t}
Solo tinemos que sustituir los valores del enunciado:

a = \frac{(6 - 2)\ m/s}{4\ s} = \bf 1\frac{m}{s^2}