Aceleración de un sistema de tres bloques unidos por cuerdas (5918)

, por F_y_Q

Un bloque de 100 g descansa sobre otro de 900 g, siendo arrastrado el conjunto con velocidad constante sobre una superficie horizontal, merced a la acción de un cuerpo de 100 g que cuelga suspendido de un hilo. Si el primer bloque de 100 g lo separamos del de 900 g y lo unimos al bloque suspendido, el sistema adquiere una cierta aceleración en el sentido indicado.

a) Calcula el valor de esta aceleración.

b) ¿Cuál es la tensión de las dos cuerdas?

P.-S.

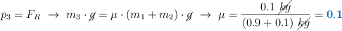
Si en la primera situación el conjunto se mueve con velocidad constante es porque no existe aceleración en la dirección del movimiento. La única manera de que esta sea así es que el sistema roce con la superficie sobre la que desliza y la fuerza de rozamiento sea igual al peso que provoca el movimiento. Las masas de los cuerpos son m_1 = 0.9\ kg, m_2 = 0.1\ kg y m_3 = 0.1\ kg, que es la masa del cuerpo suspendido del hilo.

Calculas el coeficiente de rozamiento:

p_3 = F_R\ \to\ m_3\cdot \cancel{g} = \mu\cdot (m_1 + m_2)\cdot \cancel{g}\ \to\ \mu = \frac{0.1\ \cancel{kg}}{(0.9 + 0.1)\ \cancel{kg}} = \color[RGB]{0,112,192}{\bf 0.1}

a) Ahora la masa que tira del cuerpo 1 es la suma de los cuerpos 2 y 3. Aplicando la segunda ley de la dinámica:

(m_3 + m_2)\cdot g - \mu\cdot m_1\cdot g  = (m_1 + m_2 + m_3)\cdot a

Despejas el valor de la aceleración y calculas:

a = \frac{g(m_3 + m_2 - \mu\cdot m_1)}{(m_1 + m_2 + m_3)} = \frac{9.8\ \frac{m}{s^2}(0.2 - 0.09)\ \cancel{kg}}{1.1\ \cancel{kg}} = \fbox{\color[RGB]{192,0,0}{\bm{0.98\ \frac{m}{s^2}}}}


b) En primer lugar calculas la tensión de la cuerda que une a los cuerpos 3 y 2. Para ello aíslas el cuerpo 2:

p_2 - T_{23} = m_2\cdot a\ \to\ T_{23} = m_2(g - a) = 0.1\ kg\cdot (9.8 - 0.98)\ \frac{m}{s^2} = \fbox{\color[RGB]{192,0,0}{\bf 0.88\ N}}


Ahora lo haces con la cuerda que une al cuerpo 1 con los otros dos. Aíslas el cuerpo uno:

T_{12} - F_R = m_1\cdot a\ \to\ T_{12} = m_1(a + \mu\cdot g) = 0.9\ kg(0.98 + 0.1\cdot 9.8)\ \frac{m}{s^2} = \fbox{\color[RGB]{192,0,0}{\bf 1.76\ N}}


Descarga el enunciado y la resolución del problema en formato EDICO si lo necesitas.