Aceleración de un sistema de dos cuerpos que rozan empujados por una persona (6523)

, por F_y_Q

Una persona empuja dos cajas, de masas m_A = 10\ kg y m_B = 20\ kg , tal y como se muestra en la figura.

Si los coeficientes de rozamiento entre las cajas y el suelo son \mu_A = 0.2 y \mu_B = 0.15 , determina la aceleración del sistema si la fuerza aplicada es de 150 N y \alpha = 30 ^o.

P.-S.

La fuerza que aplica la persona sobre el cuerpo A tiene dos componentes:

\vec F = \vec F_x + \vec F_y = 150\cdot cos\ 30\ \vec i + 150\cdot sen\ 30\ \vec j
\color[RGB]{0,112,192}{\bm{\vec{F} = 130\ \vec{i} + 75\ \vec{j}}}

Las fuerzas de rozamiento de los cuerpos las obtienes con la componente vertical y los pesos. Ten en cuenta que la componente vertical de la fuerza solo está aplicada sobre el cuerpo A:

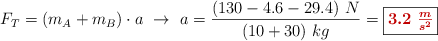
F_{R_A} = \mu_A\cdot (p_A - F_y) = 0.2\cdot (98 -75)\ N = \color[RGB]{0,112,192}{\bf 4.6\ N}

F_{R_B} = \mu_B\cdot p_B = 0.15\cdot 196\ N = \color[RGB]{0,112,192}{\bf 29.4\ N}

La aceleración del sistema tiene dirección vertical y la obtienes al aplicar la segunda ley de la dinámica. Ten en cuenta que las fuerzas de rozamiento siempre se oponen al movimiento:

F_T = (m_A + m_B)\cdot a\ \to\ a = \frac{(130 - 4.6 - 29.4)\ N}{(10 + 30)\ kg} = \fbox{\color[RGB]{192,0,0}{\bm{3.2\ \frac{m}{s^2}}}}