Aceleración de un cuerpo sobre el que se aplican dos fuerzas iguales (1108)

, por F_y_Q

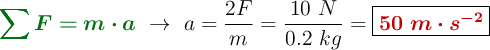
Un objeto de 200 g de masa se ve sometido a dos fuerzas de 5 N. Calcula la aceleración de dicha masa cuando las fuerzas son de la misma dirección y sentido.

P.-S.

Si las fuerzas tienen la misma dirección y sentido, la fuerza resultante es la suma de ambas. A partir de la segunda ley de la dinámica puedes obtener la aceleración buscada, eso sí, ten cuenta que la masa ha de estar expresada en kilogramos:

{\color[RGB]{2,112,20}{\bm{\sum F = m\cdot a}}}\ \to\ a = \frac{2F}{m} = \frac{10\ N}{0.2\ kg} = \fbox{\color[RGB]{192,0,0}{\bm{50\ m\cdot s^{-2}}}}