Aceleración de un conjunto de dos cuerpos enlazados con rozamiento (5908)

, por F_y_Q

La imagen presenta dos masas m_1 = 2.60\cdot 10^3\ g y m_2 = 5.03\cdot 10^3\ g unidas por una cuerda que pasa por una polea sin fricción y masa despreciable. La masa m _1 se encuentra sobre una superficie rugosa.

a) Realiza un diagrama de fuerzas para cada masa.

b) Expresa la aceleración del sistema en términos de las masas y el coeficiente de fricción cinética \mu _k.

c) Halla el valor de la aceleración, tomando como valor \mu_k = 0.230.

d) Si el bloque m _1 se encuentra a una distancia x = 0.961 m, ¿cuánto tardará en llegar a la esquina de la mesa?

e) ¿Cuál debería ser la masa mínima de m _1 para que el sistema quede en reposo? Toma el valor del coeficiente de fricción estático como \mu_s = 0.230.

P.-S.

a) El diagrama del cuerpo libre para cada masa es:


b) Aplicas la segunda ley de la dinámica al sistema, teniendo en cuenta solo las fuerzas que están en la dirección del movimiento:

\vec{p}_2 - \cancel{\vec{T}} + \cancel{\vec{T}} - \vec{F}_R = m_T\cdot a

Reescribes la ecuación en función de las masas y del coeficiente de rozamiento:

m_2\cdot g - \mu_k\cdot m_1\cdot g  = (m_1 + m_2)\cdot a

Solo tienes que despejar el valor de la aceleración para obtener la ecuación que debes dar como respuesta:

\fbox{\color[RGB]{192,0,0}{\bm{a = \frac{m_2 - \mu_K\cdot m_1}{(m_1 + m_2)}\cdot g}}}


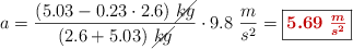
c) Sustituyes por los valores dados y obtienes el valor de la aceleración:

a = \frac{(5.03 - 0.23\cdot 2.6)\ \cancel{kg}}{(2.6 + 5.03)\ \cancel{kg}}\cdot 9.8\ \frac{m}{s^2} = \fbox{\color[RGB]{192,0,0}{\bm{5.69\ \frac{m}{s^2}}}}


d) Si el bloque de masa m _1 parte del reposo y está sometido a la aceleración que hemos calculado, el tiempo para recorrer la distancia x será:

d = \cancelto{0}{v_0}\cdot t - \frac{a}{2}\cdot t^2\ \to\ t = \sqrt{\frac{2d}{a}} = \sqrt{\frac{2\cdot 0.961\ \cancel{m}}{5.69\ \frac{\cancel{m}}{s^2}}} = \fbox{\color[RGB]{192,0,0}{\bf 0.581\ s}}


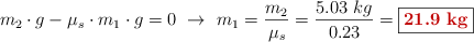
e) A partir de la ecuación que obtuvimos en el apartado b) podemos hacer cero la aceleración, para que esté en reposo, y calcular el valor de la masa m _1:

m_2\cdot g - \mu_s\cdot m_1\cdot g = 0\ \to\ m_1 = \frac{m_2}{\mu_s} = \frac{5.03\ kg}{0.23} = \fbox{\color[RGB]{192,0,0}{\bf 21.9\ kg}}