Aceleración de un coche en la autopista y distancia necesaria para aumentar su velocidad (2346)

, por F_y_Q

Un conductor va por la autopista y acelera uniformemente de 60 km/h a 110 km/h en 8 s. Encuentra el valor de la aceleración y la distancia que recorrió en ese intervalo de tiempo.

P.-S.

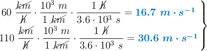
Lo primero que debes hacer es convertir los datos de velocidad para que las unidades sean homogéneas.

\left 60\ \dfrac{\cancel{km}}{\cancel{h}}\cdot \dfrac{10^3\ m}{1\ \cancel{km}}\cdot \dfrac{1\ \cancel{h}}{3.6\cdot 10^3\ s} = {\color[RGB]{0,112,192}{\bm{16.7\ m\cdot s^{-1}}}} \atop 110\ \dfrac{\cancel{km}}{\cancel{h}}\cdot \dfrac{10^3\ m}{1\ \cancel{km}}\cdot \dfrac{1\ \cancel{h}}{3.6\cdot 10^3\ s} = {\color[RGB]{0,112,192}{\bm{30.6\ m\cdot s^{-1}}}} \right \}

Aplicas la definición de aceleración:

{\color[RGB]{2,112,20}{\bm{a = \frac{v - v_0}{t}}}}\ \to\ a = \frac{(30.6 - 16.7)\ \frac{m}{s}}{8\ s} = \fbox{\color[RGB]{192,0,0}{\bm{1.74\ m\cdot s^{-2}}}}


Para calcular la distancia que recorre durante ese tiempo usas la expresión:

\color[RGB]{2,112,20}{\bm{d = v_0t + \frac{1}{2}at^2}}

Sustituyes y calculas:

d = 16.7\ \frac{m}{\cancel{s}}\cdot 8\ \cancel{s} + \frac{1.74}{2}\ \frac{m}{\cancel{s^2}}\cdot 64\ \cancel{s^2} = \fbox{\color[RGB]{192,0,0}{\bf 189.3\ m}}