Aceleración de un MRUA 0001

, por F_y_Q

¿Cuál es la aceleración de un móvil que en 4 segundos alcanza una rapidez de 20 kilómetros por hora, habiendo partido del reposo?

P.-S.

Vamos a convertir la velocidad en unidades del SI:

20\frac{km}{h}\cdot \frac{10^3\ m}{1\ km}\cdot \frac{1\h}{3600\ s} = 5,56\frac{m}{s}


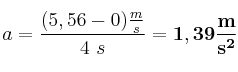
La aceleración del móvil será el cociente entre la variación de su velocidad y el tiempo empleado en ello:

a = \frac{(5,56 - 0)\frac{m}{s}}{4\ s} = \bf 1,39\frac{m}{s^2}