Aceleración aplicada por los frenos de un coche 0001

, por F_y_Q

Un automóvil marcha a una velocidad de 24 m/s cuando frena hasta su detención, después de haber recorrido 120 m. Calcula la aceleracion provocada por los frenos.

P.-S.

Para hacer el ejercicio vamos a aplicar la ecuación del MRUA que no depende del tiempo:
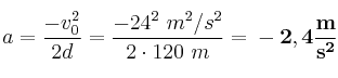
v^2 = v_0^2 + 2ad\ \to\ 0 = v_0^2 + 2ad (La velocidad final es cero)
Despejamos y sustituimos los datos:

a = \frac{-v_0^2}{2d} = \frac{-24^2\ m^2/s^2}{2\cdot 120\ m} = \bf -2,4\frac{m}{s^2}