Vueltas que da un cuerpo que gira con aceleración constante en dos segundos

, por F_y_Q

Un cuerpo parte del reposo y realiza un movimiento circular uniformemente acelerado dando 3 vueltas durante los 2 primeros segundos. Determina el número de vueltas que dará en los siguientes dos segundos.

P.-S.

En primer lugar vamos a calcular la velocidad angular del cuerpo a los dos segundos de iniciado el movimiento:
\omega = \frac{\phi}{t} = \frac{6\pi\ rad}{2\ s} = 3\pi\ \frac{rad}{s}
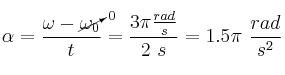
Como la velocidad inicial del movimiento es nula, podemos calcular la aceleración angular constante del movimiento:
\alpha = \frac{\omega - \cancelto{0}{\omega_0}}{t} = \frac{3\pi\frac{rad}{s}}{2\ s} = 1.5\pi\ \frac{rad}{s^2}
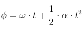
El truco de este ejercicio está en considerar como velocidad inicial del movimiento la velocidad calculada en los dos primeros segundos, ya que debemos calcular las vueltas que da en los siguientes dos segundos:
\phi = \omega\cdot t + \frac{1}{2}\cdot \alpha\cdot t^2
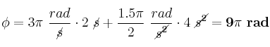
\phi = 3\pi\ \frac{rad}{\cancel{s}}\cdot 2\ \cancel{s} + \frac{1.5\pi}{2}\ \frac{rad}{\cancel{s^2}}\cdot 4\ \cancel{s^2} = \bf 9\pi\ rad
Debemos expresar el resultado como número de vueltas que da el cuerpo:

\phi = 9\pi\ \cancel{rad}\cdot \frac{1\ rev}{2\pi\ \cancel{rad}} = \bf 4.5\ rev

Palabras clave