Volumen de un objeto para que flote en un líquido 0001

, por F_y_Q

Calcula el volumen que debe tener un objeto de 7,5 kg de masa para que pueda flotar en un líquido de densidad igual a 1,7 g/cm^3.

P.-S.

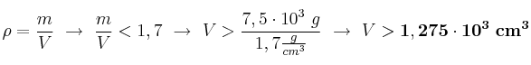
Para que pueda flotar su densidad ha de ser MENOR que la dada en el enunciado:

\rho = \frac{m}{V}\ \to\ \frac{m}{V} < 1,7\ \to\ V > \frac{7,5\cdot 10^3\ g}{1,7\frac{g}{cm^3}}\ \to\ V > \bf{1,275\cdot 10^3\ cm^3}