Volumen de disolución de ácido sulfúrico necesario para una reacción (7950)

, por F_y_Q

Dada la reacción:

\ce{2KNO3 + 4H2SO4 + 3Hg -> K2SO4 + 2NO + 3HgSO4 + 4H2O}

Si se colocan en el recipiente de la reacción 7.0 g de una muestra mineral, que contiene un 65\ \% en masa de \ce{KNO_3}, con 17 g de mercurio y acido sulfúrico 12 M, de densidad 1.12\ g\cdot mL^{-1}. Calcula el volumen mínimo de acido sulfúrico que será necesario emplear.

Masas atómicas: K = 39 ; N = 14 ; O = 16 ; Hg = 200.6 ; S = 32 ; H = 1.

P.-S.

Lo primero que debes saber es cuál de los reactivos es el reactivo limitante, que será el que tomes como referencia para hacer el cálculo del ácido necesario. Lo puedes hacer comparando las masas de cada reactivo en la reacción dada en el enunciado, teniendo en cuenta las masas moleculares de cada reactivo y su estequiometría:

M_{\ce{KNO3}}= 1\cdot 39 + 1\cdot 14 + 3\cdot 16 = \color[RGB]{0,112,192}{\bm{101\ g\cdot mol^{-1}}}

M_{\ce{H2SO4}} = 2\cdot 1 + 1\cdot 32 + 4\cdot 16= \color[RGB]{0,112,192}{\bm{98\ g\cdot mol^{-1}}}

Si sigues la estequiometría de la reacción entre el nitrato de potasio y el mercurio, que son los reactivos de los que tienes datos, puedes deducir cuál de ellos es el reactivo limitante.

Primero calculas la masa de nitrato de potasio que está contenida en el mineral:

7\ \cancel{g\ M}\cdot \frac{65\ g\ \ce{KNO3}}{100\ \cancel{g\ M}}= \color[RGB]{0,112,192}{\textbf{4.55\ g\ \ce{KNO3}}}

Supones que va a reaccionar todo el nitrato de potasio y calculas la masa de mercurio que sería necesaria:

4.55\ \cancel{g\ \ce{KNO3}}\cdot \frac{3\cdot 200.6\ \ce{g\ Hg}}{2\cdot 101\ \cancel{g\ \ce{KNO3}}} = \color[RGB]{0,112,192}{\bf 13.56\ g\ Hg}

Como puedes ver, dispones de más cantidad de mercurio de la calculada, por lo que el nitrato de potasio será el reactivo limitante.

Ahora puedes calcular la masa de sulfúrico necesaria para que reaccionen los 4.55 g de nitrato de potasio:

4.55\ \cancel{\ce{g\ KNO3}}\cdot \frac{4\cdot 98\ \ce{g\ H2SO4}}{2\cdot 101\ \cancel{\ce{g\ KNO3}}} = \color[RGB]{0,112,192}{\textbf{8.83\ \ce{g\ H2SO4}}}

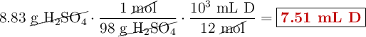
Solo te queda convertir la masa de ácido calculada en volumen de la disolución usada:

8.83\ \cancel{\ce{g\ H2SO4}}\cdot \frac{1\ \cancel{\text{mol}}}{98\ \cancel{\ce{g\ H2SO4}}}\cdot \frac{10^3\ \text{mL\ D}}{12\ \cancel{\text{mol}}} = \fbox{\color[RGB]{192,0,0}{\textbf{7.51\ mL\ D}}}