Volumen de aire para oxidar suficiente glucosa por hora en el organismo (7264)

, por F_y_Q

La oxidación de la glucosa en el cuerpo se realiza de acuerdo con la reacción redox:

\ce{C6H12O6(ac) + 6O2(g) -> 6CO2(g) + 6H2O(l)}

Si el consumo de glucosa de un organismo es de 2.77 mol/día, ¿cuál será el volumen de aire, a 25 ^oC y la presión de 1 bar, que debo respirar para lograr esta oxidación durante una hora?

P.-S.

En primer lugar puedes calcular el volumen de oxígeno que ocupa un mal de \ce{O2} en las condiciones dadas en el problema:

PV = nRT\ \to\ V = \frac{nRT}{P} = \frac{1\ \cancel{mol}\cdot 0.082\ \frac{\cancel{atm}\cdot L}{\cancel{K}\cdot \cancel{mol}}\cdot 298\ \cancel{K}}{\frac{750}{760}\ \cancel{atm}} = \color[RGB]{0,112,192}{\bf 28.8\ L}

Lo siguiente es calcular cuántos moles de glucosa debes oxidar cada hora:

2.77\ \frac{mol}{\cancel{dia}}\cdot \frac{1\ \cancel{dia}}{24\ h} = \color[RGB]{0,112,192}{\bm{0.115\ \frac{mol}{h}}}

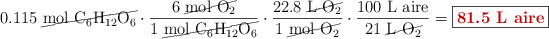
Ya es posible que hagas el resto del problema en un único paso aplicando los factores de conversión adecuados:

0.115\ \cancel{\ce{mol\ C6H12O6}}\cdot \frac{6\ \cancel{\ce{mol\ O2}}}{1\ \cancel{\ce{mol\ C6H12O6}}}\cdot \frac{22.8\ \cancel{\ce{L\ O2}}}{1\ \cancel{\ce{mol\ O2}}}\cdot \frac{100\ \ce{L\ aire}}{21\ \cancel{\ce{L\ O2}}} = \fbox{\color[RGB]{192,0,0}{\textbf{81.5\ L\ aire}}}