Moles de níquel contenidos en una moneda (6443)

, por F_y_Q

Si una moneda tiene una masa de 35 g y tiene una composición del 25 \% en masa en níquel. ¿Cuántos moles de níquel contiene?

P.-S.

En primer lugar debes calcular qué masa de la moneda es solo de níquel. Lo haces con el dato de la composición:

35\ \cancel{g\ \text{moneda}}\cdot \frac{25\ g\ \ce{Ni}}{100\ \cancel{g\ \text{moneda}}} = \color[RGB]{0,112,192}{\bf 8.75\ g\ \ce{Ni}}

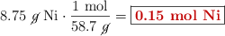
Ahora, con el dato de la masa atómica del níquel (58.7 g/mol), calculas los moles:

8.75\ \cancel{g}\ \ce{Ni}}\cdot \frac{1\ \text{mol}}{58.7\ \cancel{g}} = \fbox{\color[RGB]{192,0,0}{\bf 0.15\ \text{mol} \ce{Ni}}}


Descarga el enunciado y la resolución del problema en formato EDICO si lo necesitas.