Volumen de CO2 y masa de H2O en la combustión del etano (7005)

, por F_y_Q

Cuando el etano (\ce{C2H6}) se quema con oxígeno se producen dióxido de carbono y agua. Si el proceso se da en condiciones normales, calcula:

a) El volumen de dióxido de carbono que se obtiene al quemar 80 g de etano.

b) La masa de agua que se produce.

Masas atómicas: C = 12 ; H = 1 ; O = 16.

P.-S.

La ecuación química de la combustión del etano es:

\color[RGB]{2,112,20}{\textbf{\ce{C2H6(g) + 7/2 O2(g) -> 2CO2(g) + 3H2O(l)}}}


Si conviertes en mol la masa de etano que se quema:

80\ \cancel{g}\ \ce{C2H6}\cdot \frac{1\ mol}{(2\cdot 12 + 6\cdot 1)\ \cancel{g}} = \color[RGB]{0,112,192}{\textbf{2.67\ mol\ \ce{C2H6}}}

a) Si haces la relación estequiométrica entre el \ce{CO2} y el \ce{C2H6} y usas la definición de volumen molar en condiciones normales:

2.67\ \cancel{mol\ \ce{C2H6}}\cdot \frac{2\ \cancel{mol}\ \ce{CO2}}{1\ \cancel{mol\ \ce{C2H6}}}\cdot \frac{22.4\ L}{1\ \cancel{mol}} = \fbox{\color[RGB]{192,0,0}{\bf 120\ L\ \ce{CO2}}}}


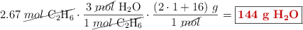
b) Ahora tienes que relacionar los moles de etano con la masa de agua:

2.67\ \cancel{mol\ \ce{C2H6}}\cdot \frac{3\ \cancel{mol}\ \ce{H2O}}{1\ \cancel{mol\ \ce{C2H6}}}\cdot \frac{(2\cdot 1 + 16)\ g}{1\ \cancel{mol}} = \fbox{\color[RGB]{192,0,0}{\bf 144\ g\ \ce{H2O}}}}

Descarga el enunciado y la resolución del problema en formato EDICO si lo necesitas.