Relación másica y moles de producto en la reacción de un ácido con un metal (7004)

, por F_y_Q

La reacción entre el ácido clorhídrico y el cinc, en medio acuoso, produce cloruro de cinc e hidrógeno gaseoso. Si tras la reacción se recogen 12.5 L de hidrógeno, medidos en condiciones normales, calcula:

a) La masa de cada reactivo que ha reaccionado.

b) Los moles de cloruro de cinc producidos.

Masas atómicas: Zn = 65.4 ; H = 1 ; Cl = 35.5

P.-S.

Es necesario escribir la ecuación química para poder establecer la estequiometría del proceso:

\color[RGB]{2,112,20}{\textbf{\ce{2HCl(ac) + Zn(s) -> ZnCl2(ac) + H2(g)}}


La relación másica en la reacción anterior es:

[2\cdot (1 + 35.5)] + [65.4] = [65.4 + 2\cdot 35.5] + [2\cdot 1]

\color[RGB]{0,112,192}{\textbf{73\ (\ce{HCl}) + 65.4\ (\ce{Zn}) = 135.4\ (\ce{ZnCl2}) + 2\ (\ce{H2})}}

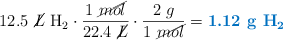
Debes convertir el volumen de hidrógeno producido a moles:

12.5\ \cancel{L}\ \ce{H2}\cdot \frac{1\ \cancel{mol}}{22.4\ \cancel{L}}\cdot \frac{2\ g}{1\ \cancel{mol}} = \color[RGB]{0,112,192}{\textbf{1.12\ g\ \ce{H2}}}

a) Ahora solo tienes que hacer las relaciones másicas con los reactivos:

\frac{65.4\ g\ \ce{Zn}}{2\ g\ \ce{H2}} = \frac{x}{1.12\ g\ \ce{H2}} = \fbox{\color[RGB]{192,0,0}{\bf 36.6\ g\ \ce{Zn}}}


\frac{73\ g\ \ce{HCl}}{2\ g\ \ce{H2}} = \frac{x}{1.12\ g\ \ce{H2}} = \fbox{\color[RGB]{192,0,0}{\bf 40.9\ g\ \ce{HCl}}}


b) Si aplicas la ley de conservación de la masa puedes calcular la masa de \ce{ZnCl2} y luego la conviertes a mol:

36.6 + 40.9 = x + 1.12\ \to\ \color[RGB]{0,112,192}{\textbf{x = 76.4\ g\ \ce{ZnCl2}}}

76.4\ \cancel{g}\ \ce{ZnCl}\cdot \frac{1\ mol}{135.4\ \cancel{g}} = \fbox{\color[RGB]{192,0,0}{\textbf{0.564\ mol\ \ce{ZnCl2}}}}

Descarga el enunciado y la resolución del problema en formato EDICO si lo necesitas.