P.-S.
a) En una colisión se conserva siempre la cantidad de movimiento o momento lineal del sistema. Si el choque es elástico también se conservará la energía cinética del sistema por no haber disipación de energía.
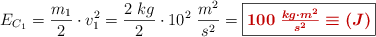
Para calcular la cantidad de movimiento y energía cinética de ambos objetos al inicio solo tenemos que tener en cuenta sus valores de masa y velocidad. El segundo objeto está en reposo inicialmente, por lo que su cantidad de movimiento y su energía cinética serán nulas. Para el primer objeto:
![p_1 = m_1\cdot v_1 = 2\ kg\cdot 10\ \frac{m}{s} = \fbox{\color[RGB]{192,0,0}{\bm{20\ \frac{kg\cdot m}{s}}}} p_1 = m_1\cdot v_1 = 2\ kg\cdot 10\ \frac{m}{s} = \fbox{\color[RGB]{192,0,0}{\bm{20\ \frac{kg\cdot m}{s}}}}](local/cache-vignettes/L278xH33/e9a2dc3ae0a78f9326238509124e971f-0b78e.png?1733104426)
![E_{C_1} = \frac{m_1}{2}\cdot v_1^2 = \frac{2\ kg}{2}\cdot 10^2\ \frac{m^2}{s^2} = \fbox{\color[RGB]{192,0,0}{\bm{100\ \frac{kg\cdot m^2}{s^2}\equiv (J)}}} E_{C_1} = \frac{m_1}{2}\cdot v_1^2 = \frac{2\ kg}{2}\cdot 10^2\ \frac{m^2}{s^2} = \fbox{\color[RGB]{192,0,0}{\bm{100\ \frac{kg\cdot m^2}{s^2}\equiv (J)}}}](local/cache-vignettes/L376xH37/27d6dc12fded85d8607000ffd589dc44-fe5ef.png?1733104426)
Estos valores coinciden con la cantidad de movimiento y energía cinética iniciales
del sistema.
b) Como se debe conservar la cantidad de movimiento del sistema, la inicial ha de ser igual que la final. Pero recordemos que la inicial depende solo del objeto que está en movimiento al inicio:
Despejamos el valor de

y sustituimos:
![v^{\prime}_2 = \frac{2\ \cancel{kg}\cdot (10 + 4)\ \frac{m}{s}}{10\ \cancel{kg}} = \fbox{\color[RGB]{192,0,0}{\bm{2.4\ \frac{m}{s}}}} v^{\prime}_2 = \frac{2\ \cancel{kg}\cdot (10 + 4)\ \frac{m}{s}}{10\ \cancel{kg}} = \fbox{\color[RGB]{192,0,0}{\bm{2.4\ \frac{m}{s}}}}](local/cache-vignettes/L235xH46/c5bb2894d2295cd477ab2cd758c88988-733ec.png?1733104426)
Debemos tener cuidado con el signo de

. Si hemos considerado que su velocidad inicial es positiva, la velocidad después del choque, que tiene sentido contrario, debe ser negativa.
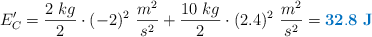
c) Calculamos la energía cinética del sistema después del choque y comparamos el valor con la energía cinética inicial para obtener la energía degradada.
Por lo tanto, la energía degradada será:
![\Delta E_C = (100 - 32.8)\ J = \fbox{\color[RGB]{192,0,0}{\bf 67.2\ J}} \Delta E_C = (100 - 32.8)\ J = \fbox{\color[RGB]{192,0,0}{\bf 67.2\ J}}](local/cache-vignettes/L240xH22/b63927346b4b65f34f061e84d56455cb-59a7f.png?1733104426)
d) En este caso, toda la energía cinética inicial sería igual a la final. Debemos determinar qué velocidades finales tendrá cada objeto después del choque, para ello vamos a tener en cuenta que se conservan la cantidad de movimiento y la energía cinética en este caso. Sustituimos los valores directamente en las ecuaciones:
Despejamos en la primera ecuación

y sustituimos en la segunda
Desarrollando el paréntesis llegamos a la ecuación
Resolvemos la ecuación y obtenemos el valor:
![\fbox{\color[RGB]{192,0,0}{\bm{v^{\prime}_2 = 3.33\ \frac{m}{s}}}} \fbox{\color[RGB]{192,0,0}{\bm{v^{\prime}_2 = 3.33\ \frac{m}{s}}}}](local/cache-vignettes/L105xH28/bb0714977ee55d49df0525c6df80832d-e2751.png?1733104426)
El valor de la velocidad del primer objeto:
![\fbox{\color[RGB]{192,0,0}{\bm{v^{\prime}_1 = -6.65\ \frac{m}{s}}}} \fbox{\color[RGB]{192,0,0}{\bm{v^{\prime}_1 = -6.65\ \frac{m}{s}}}}](local/cache-vignettes/L121xH28/2e5ea3f6ecd818b3f8076ea5382c3285-54c2d.png?1733104426)