Colisiones: elástica e inelástica (2955)

, por F_y_Q

Dos cuerpos de masas m_1  = 5\ kg y m_2  = 3\ kg se mueven, uno hacia el otro, con una velocidad de 2 m/s sobre una superficie horizontal lisa. Determina las velocidades después del choque si lo hacen:

a) De forma perfectamente elástica.

b) De forma perfectamente inelástica.

P.-S.

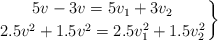
a) Se deben conservar la cantidad de movimiento y la energía del sistema por ser un choque perfectamente elástico. Tienes escribir las dos ecuaciones que satisfacen estas condiciones, teniendo en cuenta que, si las velocidades iniciales tienen sentido contrario, el signo de ellas será el opuesto:

\left 5v - 3v  = 5v_1 + 3v_2 \atop 2.5v^2 + 1.5v^2 = 2.5v_1^2 + 1.5v_2^2 \right \}

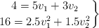
Las ecuaciones que te quedan, después de sustituir "v" por el valor del módulo de la velocidad inicial (v = 2) son :

\left 4  = 5v_1 + 3v_2 \atop 16 = 2.5v_1^2 + 1.5v_2^2 \right \}

Despejas en la primera ecuación:

v_1  = \frac{4 - 3v_2}{5}

Sustituyes en la segunda ecuación y te queda:

16 = 2.5(\frac{16 - 24v_2 + 9v_2^2}{25}) + 1.5v_2^2

Resolviendo y simplificando obtienes la ecuación de segundo grado: v_2^2 - v_2 - 6  = 0 y resultan dos soluciones que son:

v_2 = - 2\frac{m}{s} y v_2 = \fbox{\color[RGB]{192,0,0}{\bm{3\frac{m}{s}}}}

Por lo tanto, para la velocidad del cuerpo de mayor masa también habrá dos posibles soluciones:

v_1  = 2\frac{m}{s} y v_1 = \fbox{\color[RGB]{192,0,0}{\bm{-1\frac{m}{s}}}}

El primer par de soluciones no tienen sentido físico porque implicarían que los dos cuerpos no chocan, porque no varían sus velocidades iniciales. Por lo tanto debes considerar el segundo par de soluciones, que son las que están en rojo, porque implican que ambos cuerpos cambian de sentido.

b) Ahora solo se conserva la cantidad de movimiento del sistema, por ser perfectamente inelástico. Solo se debe cumplir una ecuación:

5v - 3v = (5 + 3)v^{\prime}

Sustituyendo tienes:

2v = 8v^{\prime}\ \to\ v^{\prime} = \frac{4}{8}\frac{m}{s} = \fbox{\color[RGB]{192,0,0}{\bm{0.5\ \frac{m}{s}}}}


Ambos cuerpos, unidos, se mueven en el sentido del cuerpo de mayor masa y con velocidad menor.