Velocidad y altura que alcanza un objeto lanzado hacia arriba

, por F_y_Q

Se lanza verticalmente y hacia arriba un cuerpo con una rapidez de 50 m/s. Calcula:

a) La rapidez a los 3 s del lanzamiento.

b) La rapidez cuando haya subido 80 m.

c) La altura alcanzada.

P.-S.

Consideramos que el sentido ascendente es positivo y el descendente es negativo. Las ecuaciones del movimiento tendrán el valor de la velocidad inicial postivo y la aceleración de la gravedad negativo:
a) v = v_0 - gt = 50\frac{m}{s} - 9,8\frac{m}{s^2}\cdot 3\ s = \bf 20,6\frac{m}{s}
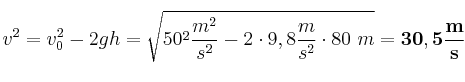
b) Usamos la ecuación que relaciona las velocidades del objeto y la altura a la que se encuentra :
v^2 = v_0^2 - 2gh = \sqrt{50^2\frac{m^2}{s^2} - 2\cdot 9,8\frac{m}{s^2}\cdot 80\ m} = \bf 30,5\frac{m}{s}
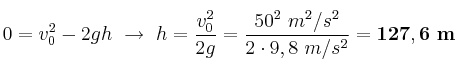
c) Usaremos la misma ecuación que en el apartado anterior pero poniendo como condición que la velocidad final es nula, que será el punto en el que la altura es máxima:
0 = v_0^2 - 2gh\ \to\ h = \frac{v_0^2}{2g} = \frac{50^2\ m^2/s^2}{2\cdot 9,8\ m/s^2} = \bf 127,6\ m