Velocidad y altura en un lanzamiento vertical hacia arriba 0001

, por F_y_Q

Una pelota se lanza verticalmente hacia arriba con una velocidad de 30 m/s. Al cabo de 2 segundos:

a) ¿Qué velocidad lleva la pelota?

b) ¿A qué altura estará en ese momento?

P.-S.

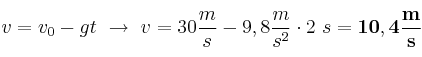
Se trata de un movimiento en el que consideramos positiva la velocidad inicial hacia arriba y negativa la gravedad. Las ecuaciones que usaremos son las propias de un MRUA:
a) v = v_0 - gt\ \to\ v = 30\frac{m}{s} - 9,8\frac{m}{s^2}\cdot 2\ s =
 \bf 10,4\frac{m}{s}
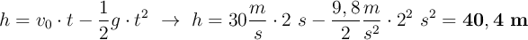
b) h = v_0\cdot t - \frac{1}{2}g\cdot t^2\ \to\ h = 30\frac{m}{s}\cdot 2\ s - \frac{9,8}{2}\frac{m}{s^2}\cdot 2^2\ s^2 = \bf 40,4\ m