Velocidad y aceleración de un punto exterior de un disco de vinilo que gira (59)

, por F_y_Q

Un disco de vinilo de 12 pulgadas de diámetro gira a 33 rpm. ¿Cuál será la velocidad de un punto del exterior del disco? ¿Y su aceleración? (Dato: 1 pulgada = 0.025 m).

P.-S.

En primer lugar expresas el diámetro del disco en unidad SI:

D = 12\ \cancel{in}\cdot \frac{0.025\ m}{1\ \cancel{in}} = \color[RGB]{0,112,192}{\bf 0.3\ m}

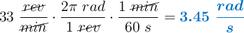
La velocidad angular también la tienes que expresar en unidad SI:

33\ \frac{\cancel{rev}}{\cancel{min}}\cdot \frac{2\pi\ rad}{1\ \cancel{rev}}\cdot \frac{1\ \cancel{min}}{60\ s} = \color[RGB]{0,112,192}{\bm{3.45\ \frac{rad}{s}}}

La velocidad angular se relaciona con la velocidad lineal mediante el radio:

\color[RGB]{2,112,20}{\bm{v= \omega\cdot R}}

Debes tener en cuenta que el radio es la mitad del diámetro que has convertido en el primer paso:

v = 3.45\ \frac{1}{s}\cdot 0.15\ m = \fbox{\color[RGB]{192,0,0}{\bm{0.52\ \frac{m}{s}}}}


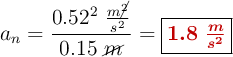
La aceleración, al ser un movimiento circular uniforme, es igual a la aceleración normal:

\color[RGB]{2,112,20}{\bm{a_n= \frac{v^2}{R}}}

Como conoces los datos, solo tienes que sustituir:

a_n = \frac{0.52^2\ \frac{m\cancel{^2}}{s^2}}{0.15\ \cancel{m}} = \fbox{\color[RGB]{192,0,0}{\bm{1.8\ \frac{m}{s^2}}}}


Descarga el problema en formato EDICO