Velocidad que disminuye uniformemente 0001

, por F_y_Q

Una persona viaja en bicicleta a una velocidad de 20 m/s. Aplica los frenos y esto produce una desaceleración de 5 m/s^2. Encontrar el tiempo que tarda en detenerse y la distancia que recorrió en ese tiempo.

P.-S.

Este problema es un movimiento uniformemente retardado. Aplicaremos las ecuaciones que rigen este tipo de movimientos:

v = v_0+ at


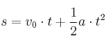
s = v_0\cdot t + \frac{1}{2}a\cdot t^2


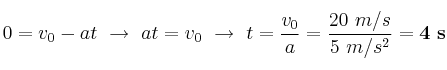
Para calcular el tiempo que tarda en detenerse empleamos la primera ecuación. La velocidad final será cero porque nos dicen que se detiene:

0 = v_0 - at\ \to\ at = v_0\ \to\ t = \frac{v_0}{a} = \frac{20\ m/s}{5\ m/s^2} = \bf 4\ s


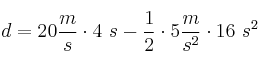
Para calcular la distancia que recorre empleamos la segunda ecuación, usando el valor de "t" que acabamos de calcular:

d = 20\frac{m}{s}\cdot 4\ s - \frac{1}{2}\cdot 5\frac{m}{s^2}\cdot 16\ s^2


Hacemos las operaciones y obtenemos:

d = 80\ m - 40\ m = \bf 40\ m