Velocidad media y distancia que recorre un atleta mientras acelera

, por F_y_Q

Un atleta corre los 100 m lisos en 10.6 s. Si durante los primeros 3.6 s acelera con una aceleración constante de 3.16\ \textstyle{m\over s^2} y luego sigue hasta la meta con rapidez constante. Calcula:

a) ¿Cuál es la rapidez media de la carrera?

b) ¿Qué distancia recorre en los primeros 3.6 s?

c) ¿Cuál es la rapidez constante en \textstyle{km \over h}?

P.-S.

a) La celeridad media la calculamos como el cociente entre la distancia que recorre y el tiempo que tarda en la carrera:

v_m = \frac{d}{t} = \frac{100\ m}{10.6\ s} = \fbox{\color{red}{\bm{9.43\ \frac{m}{s}}}}


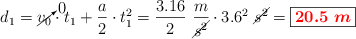
b) La distancia que recorre mientras acelera se calcula con la ecuación del MRUA:

d_1 = \cancelto{0}{v_0}\cdot t_1 + \frac{a}{2}\cdot t_1^2 = \frac{3.16}{2}\ \frac{m}{\cancel{s^2}}\cdot 3.6^2\ \cancel{s^2} = \fbox{\color{red}{\bm{20.5\ m}}}



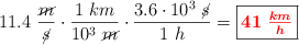
c) En primer lugar calculamos la velocidad que alcanza tras el tiempo de aceleración:

v_1 = \cancelto{0}{v_0} + a\cdot t_1 = 3.16\ \frac{m}{s\cancel{^2}}\cdot 3.6\ \cancel{s} = 11.4\ \frac{m}{s}

Ahora hacemos la conversión del dato obtenido:

11.4\ \frac{\cancel{m}}{\cancel{s}}\cdot \frac{1\ km}{10^3\ \cancel{m}}\cdot \frac{3.6\cdot 10^3\ \cancel{s}}{1\ h} = \fbox{\color{red}{\bm{41\ \frac{km}{h}}}}