Velocidad media en una carrera y cambio de unidades (3955)

, por F_y_Q

En 1999 el corredor marroquí Hicham El Guerrouj corrió la milla en 3 minutos. ¿Qué rapidez media tuvo durante la carrera? Expresa el resultado en unidades SI.

P.-S.

Como debes expresar el resultado en unidades del Sistema Internacional será buena idea convertir la distancia y el tiempo a metros y segundos respectivamente:

\left 3\ \cancel{min}\cdot \dfrac{60\ s}{1\ \cancel{min}} = {\color[RGB]{0,112,192}{\bf 180\ s}} \atop 1\ \cancel{mi}\cdot \dfrac{1\ 609\ m}{1\ \cancel{mi}} = {\color[RGB]{0,112,192}{\bf 1\ 609\ m}} \right \}

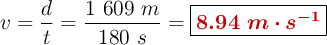
Ahora calculas la velocidad, que será el cociente entre la distancia recorrida y el tiempo empleado en recorrerla:

v = \frac{d}{t} = \frac{1\ 609\ m}{180\ s} = \fbox{\color[RGB]{192,0,0}{\bm{8.94\ m\cdot s^{-1}}}}