Velocidad media de una escaladora al subir una pared

, por F_y_Q

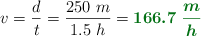
Adriana escala una pared de 250 m en un tiempo de una hora y media. ¿Cuál fue su velocidad media expresada en unidades SI?

P.-S.

Aplicas la definición de velocidad:

v = \frac{d}{t} = \frac{250\ m}{1.5\ h} = \color[RGB]{2,112,20}{\bm{166.7\ \frac{m}{h}}}


Pero para expresar la solución en la unidad correcta debes convertir el tiempo en segundos:

166.7\ \frac{m}{\cancel{h}}\cdot \frac{1\ \cancel{h}}{3\ 600\ s} = \fbox{\color[RGB]{192,0,0}{\bm{4.63\cdot 10^{-2}\ \frac{m}{s}}}}