Velocidad media de un cohete 0001

, por F_y_Q

Un cohete que lleva un satélite acelera verticalmente alejándose de la superficie terrestre. Al tiempo 1,15 s después de despegar, el cohete libera el tope de su plataforma de lanzamiento, a 63 m sobre el suelo y después de otros 4,75 s está a 100 km sobre el suelo. Calcula la magnitud de la velocidad media del cohete en:

a) El tramo de los últimos 4,75 s de su vuelo.

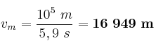
b) Los primeros 5,90 s de su vuelo.

P.-S.

La velocidad media es el cociente entre la distancia recorrida y el tiempo empleado en recorrerla. Aplicando esta definición a cada tramo:
a) v_m = \frac{\Delta h}{\Delta t} = \frac{(10^5 - 63)\ m}{4,75\ s} = \bf 21\ 039\frac{m}{s}
b) v_m = \frac{10^5\ m}{5,9\ s} = \bf 16\ 949\ m