Velocidad máxima de un vehículo para no chocar contra una roca (5140)

, por F_y_Q

Un vehículo va por la carretera y ve una roca a 100 m. Si su aceleración de frenado es de 4\ m\cdot s^{-2}, ¿qué velocidad máxima deberá llevar el vehículo para no chocar con la roca?

P.-S.

Como conoces la velocidad final del vehículo, que sería cero porque se detiene, y su aceleración de frenado, además de la distancia de frenado, puedes usar la ecuación:

\color[RGB]{2,112,20}{\bm{v_f^2 = v_0^2 -2ad}}

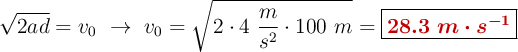
Despejando el valor de la velocidad inicial y sustituyendo:

\sqrt{2ad} = v_0\ \to\ v_0 = \sqrt{2\cdot 4\ \frac{m}{s^2}\cdot 100\ m} = \fbox{\color[RGB]{192,0,0}{\bm{28.3\ m\cdot s^{-1}}}}


La velocidad calculada equivale a \fbox{\color[RGB]{192,0,0}{\bm{101.8\ km\cdot h^{-1}}}}