Velocidad instantánea y velocidad media a partir de la ecuación de posición (228)
El vector de posición de un móvil es:

Calcula:
a) Su velocidad al cabo de 2 segundos.
b) Su velocidad media durante los cuatro primeros segundos.
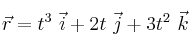
El vector de posición de un móvil es:

Calcula:
a) Su velocidad al cabo de 2 segundos.
b) Su velocidad media durante los cuatro primeros segundos.