Velocidad inicial y altura máxima de una pelota golpeada con un ángulo dado (6552)

, por F_y_Q

Un bateador golpea una pelota a una altura de 1.2 m sobre su base y la eleva con un ángulo de 45 ^o con la horizontal. La pelota cae al piso a una distancia de 55 m desde el punto de lanzamiento. Determina:

a) La velocidad inicial de la pelota.

b) La altura máxima medida desde el suelo.

P.-S.

a) Para obtener la velocidad inicial del lanzamiento debes tener en cuenta la ecuación de la posición horizontal de la pelota y despejar el tiempo de vuelo:

x = v_0\cdot t\cdot cos\ 45^o\ \to\ \color[RGB]{2,112,20}{\bm{t = \frac{x}{v_0\cdot cos\ 45^o}}}

Cuando x = 55 m el tiempo será el tiempo que la pelota está en el aire y la altura de la pelota será nula, porque choca contra el suelo. Si sustituyes El tiempo de vuelo en la ecuación de la posición vertical:

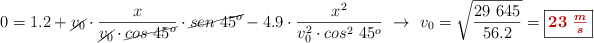
\cancelto{0}{y} = y_0 + v_0\cdot t\cdot sen\ 45^o - \frac{g}{2}\cdot t^2

0 = 1.2 + \cancel{v_0}\cdot \frac{x}{\cancel{v_0}\cdot \cancel{cos\ 45^o}}\cdot \cancel{sen\ 45^o} - 4.9\cdot \frac{x^2}{v_0^2\cdot cos^2\ 45^o}\ \to\ v_0 = \sqrt{\frac{29\ 645}{56.2}} = \fbox{\color[RGB]{192,0,0}{\bm{23\ \frac{m}{s}}}}


b) La pelota deja de subir cuando su velocidad vertical sea nula:

\cancelto{0}{v_y} = v_0\cdot t\cdot sen\ 45^0 - gt_s\ \to\ \color[RGB]{2,112,20}{\bm{t_s = \frac{v_0\cdot sen\ 45^0}{g}}}

Sustituyes y obtienes el tiempo de subida:

t_s = \frac{23\ \frac{\cancel{m}}{\cancel{s}}\cdot sen\ 45^o}{9.8\ \frac{\cancel{m}}{s\cancel{^2}}} = \color[RGB]{0,112,192}{\bf 1.7\ s}

La altura máxima que alcanza es:

y_{m\acute{a}x} = 1.2\ m + 23\ \frac{m}{\cancel{s}}\cdot 1.7\ \cancel{s}\cdot sen\ 45^0 - 4.9\ \frac{m}{\cancel{s^2}}\cdot 1.7^2\ \cancel{s^2} = \fbox{\color[RGB]{192,0,0}{\bf 14.7\ m}}