Velocidad inicial para que dos esferas con distintos movimientos impacten en el aire (6440)

, por F_y_Q

Una esfera A se desliza con una velocidad constante de 14 m/s como se indica en la figura:

Determina la velocidad inicial vertical que debería imprimir a la esfera B para impactar con la esfera A, suponiendo que se lanza en el mismo instante en que la esfera A abandona la mesa. Considera que g = 9.8\ \textstyle{m\over s^2}

P.-S.

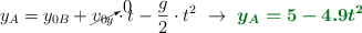
Para que ambas esferas se encuentren es necesario que sus posiciones sean iguales en un instante determinado. La esfera A sigue un movimiento de lanzamiento horizontal al abandonar la mesa, mientras que la esfera seguirá un lanzamiento vertical hacia arriba. Escribes las ecuaciones de las posiciones de ambas esferas:

x_A = v_{0x}\cdot t\ \to\ \color[RGB]{2,112,20}{\bm{x_A = 14t}}

y_A = y_{0B} + \cancelto{0}{v_{0y}}\cdot t - \frac{g}{2}\cdot t^2\ \to\ \color[RGB]{2,112,20}{\bm{y_A = 5 - 4.9t^2}}

y_B = v_{0B}\cdot t - \frac{g}{2}\cdot t^2\ \to\ \color[RGB]{2,112,20}{\bm{y_B = v_{0B}t - 4.9t^2}}


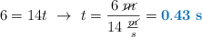
El tiempo que tardarán en impactar lo puedes obtener si igualas las posiciones horizontales de ambas esferas, es decir, la esfera A tendrá que haber alcanzado los 6 m de distancia de la mesa en los que está la esfera B:

6 = 14t\ \to\ t = \frac{6\ \cancel{m}}{14\ \frac{\cancel{m}}{s}} = \color[RGB]{0,112,192}{\bf 0.43\ s}

Solo tienes que igualar las ecuaciones de la posición vertical de ambas esferas, sustituir el tiempo por el valor calculado y despejar el valor de la velocidad inicial de la esfera B:

5- \cancel{4.9t^2} = v_{0B}\cdot t - \cancel{4.9t^2}\ \to\ v_{0B} = \frac{5\ m}{0.43\ s} = \fbox{\color[RGB]{192,0,0}{\bm{11.6\ \frac{m}{s}}}}