Velocidad inicial de un MRUA 0001

, por F_y_Q

¿Qué velocidad inicial debe tener un niño en un monopatín para alcanzar una velocidad de 15 km/h en 5 s, si acelera a razón de 0.8 m\cdot s^{-2}?

P.-S.

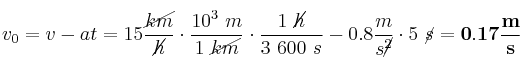
A partir de la expresión v = v_0 + at podemos despejar el valor de la velocidad inicial. Debemos tener en cuenta que las unidades deben ser homogéneas. Lo vamos a realizar todo en un paso:

v_0 = v - at = 15\frac{\cancel{km}}{\cancel{h}}\cdot \frac{10^3\ m}{1\ \cancel{km}}\cdot \frac{1\ \cancel{h}}{3\ 600\ s} - 0.8\frac{m}{s\cancel{^2}}\cdot 5\ \cancel{s} = \bf 0.17\frac{m}{s}