Velocidad final y tiempo empleado durante una aceleración

, por F_y_Q

Una partícula se mueve a 8\ m\cdot s^{-1}. Cuando se encuentra a 10 m recibe una aceleración constante de 2\ m\cdot s^{-2} hasta llegar a los 40 m.

a) ¿Cuál es su velocidad al término de dicho desplazamiento?

b) ¿Qué tiempo ocupa en dicho cambio de velocidad?

P.-S.

A partir de los datos que nos proporcionan podemos calcular la distancia que recorre la partícula durante la aceleración, siendo esta la diferencia entre la posición inicial y la final:
d = x_f - x_0 = (40 - 10)\ m = 30\ m
La velocidad que tendrá la partícula después de esta aceleración será:

v_f^2 = v_0^2 + 2ad\ \to\ v_f = \sqrt{v_0^2 + 2ad} = \sqrt{8^2\frac{m^2}{s^2} + 2\cdot 2\frac{m}{s^2}\cdot 30\ m} = \bf 13,56\frac{m}{s}


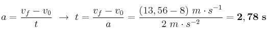
b) El tiempo empleado en esa aceleración se obtiene a partir de la propia definición de la aceleración:

a = \frac{v_f - v_0}{t}\ \to\ t = \frac{v_f - v_0}{a} = \frac{(13,56 - 8)\ m\cdot s^{-1}}{2\ m\cdot s^{-2}} = \bf 2,78\ s