Velocidad final y espacio recorrido en un MRUA 0001

, por F_y_Q

Un móvil parte del reposo adquiriendo una aceleración de 4\frac{m}{s^2} después de 4 s:

a) ¿Cuál es su velocidad final?

b) ¿Qué distancia habrá recorrido en ese tiempo?

P.-S.

La aceleración se define como: a = \frac{v - v_0}{t}\ \to\ v = v_0 + at
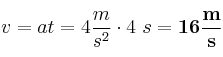
a) Como la velocidad inicial es nula:

v = at = 4\frac{m}{s^2}\cdot 4\ s = \bf 16\frac{m}{s}


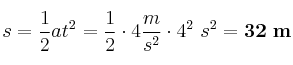
b) La distancia se puede obtener a partir de: s = s_0 + v_0t + \frac{1}{2}at^2
La distancia recorrida inicialmente y la velocidad inicial son nulas:

s = \frac{1}{2}at^2 = \frac{1}{2}\cdot 4\frac{m}{s^2}\cdot 4^2\ s^2 = \bf 32\ m

Ver solución en vídeo