Velocidad final en un movimiento acelerado 0001

, por F_y_Q

Un móvil desarrolla durante 40 s una aceleración de 25\ cm\cdot s^{-2}. Si su velocidad inicial es 60\ cm\cdot s^{-1}, ¿cuál será su velocidad final siendo el movimiento uniformemente acelerado?

P.-S.

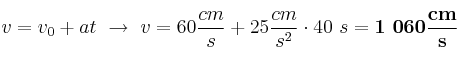
Al ser un movimiento uniformemente acelerado, la aceleración ha de ser constante durante los 40 s. La expresión que permite calcular la velocidad final es:

v = v_0 + at\ \to\ v = 60\frac{cm}{s} + 25\frac{cm}{s^2}\cdot 40\ s = \bf 1\ 060\frac{cm}{s}