Velocidad en un lanzamiento vertical hacia arriba 0001

, por F_y_Q

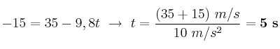
Una pelota es lanzada verticalmente hacia arriba con una rapidez es 35 m/s. ¿Cuánto tiempo debe pasar para que la pelota baje con una rapidez de 15 m/s?

P.-S.

La ecuación de la velocidad en un lanzamiento vertical hacia arriba es: v = v_0 - gt. Debemos tener en cuenta que si consideramos positiva la velocidad inicial (hacia arriba), la velocidad de bajada será negativa:

-15 = 35 - 9,8t\ \to\ t = \frac{(35+15)\ m/s}{10\ m/s^2} = \bf 5\ s