Velocidad de una vagoneta a distintas alturas a partir de la deformación del freno (6655)

, por F_y_Q

Una vagoneta de feria de masa de 120 kg se encuentra encima de una pista sin rozamiento. El tramo inicial de la pista es horizontal. A medio camino, la pista hace una subida hasta un segundo tramo horizontal, al final del cual hay un sistema de frenado consistente en un muelle de constante elástica k = 104 N/m. La diferencia de altura entre los dos tramos horizontales es de 4 m. Si el sistema de frenado se comprime 0.8 m, calcula:

a) La velocidad de la vagoneta justo antes de empezar a comprimir el sistema de frenado.

b) La velocidad de la vagoneta justo antes de empezar a subir la rampa.

P.-S.

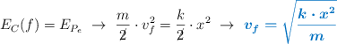
a) Puedes calcular la velocidad de la vagoneta en el último tramo horizontal si tienes en cuenta que la energía potencial elástica del muelle al comprimirse tiene que ser igual a la energía cinética de la vagoneta en ese tramo:

E_C(f) = E_{P_e}\ \to\ \frac{m}{\cancel{2}}\cdot v_f^2 = \frac{k}{\cancel{2}}\cdot x^2\ \to\ \color[RGB]{0,112,192}{\bm{v_f = \sqrt{\frac{k\cdot x^2}{m}}}}

Sustituyes los datos y calculas la velocidad:

v_f = \sqrt{\frac{104\ \frac{N}{\cancel{m}}\cdot 0.8^2\ m\cancel{^2}}{120\ kg}} = \fbox{\color[RGB]{192,0,0}{\bm{0.745\ \frac{m}{s}}}}


b) Ahora el balance de energía que debes hacer es entre la energía cinética de la vagoneta en el primer tramo horizontal y la energía mecánica en el segundo tramo horizontal:

E_C(i) = E_C(f) + E_P(f)\ \to\ \frac{\cancel{m}}{2}\cdot v_i^2 = \frac{\cancel{m}}{2}\cdot v_f^2 + \cancel{m}\cdot g\cdot h\ \to\ \color[RGB]{0,112,192}{\bm{v_i = \sqrt{v_f^2 + 2gh}}}

Sustituyes los datos que conoces y calculas:

v_i = \sqrt{0.745^2\ \frac{m^2}{s^2} + 2\cdot 9.8\ \frac{m}{s^2}\cdot 4\ m} = \fbox{\color[RGB]{192,0,0}{\bm{8.89\ \frac{m}{s}}}}