Velocidad de un saltador de altura para sobrepasar el listón a cierta altura (6068)

, por F_y_Q

En el salto de altura, la energía cinética de un atleta se transforma en energía potencial gravitacional sin ayuda de una pértiga. ¿Con qué rapidez mínima debe el atleta dejar el suelo para levantar su centro de masa 2.10 m y cruzar la barra con una rapidez de 0.70 m/s?

P.-S.

Vamos a plantear el ejercicio a partir del Principio de Conservación de la Energía. La energía mecánica en el despegue del atleta debe ser la misma que la que tenga en el punto descrito sobre el listón:

E_M(i) = E_M(f)\  \to\ \frac{1}{2}\cancel{m}\cdot v_i^2 = \cancel{m}\cdot g\cdot h + \frac{1}{2}\cancel{m}\cdot v_f^2\ \to\ \frac{v_i^2}{2} = g\cdot h + \frac{v_f^2}{2}

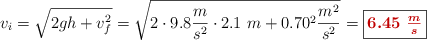
Despejamos el valor de la velocidad inicial y sustituimos:

v_i = \sqrt{2gh + v_f^2} = \sqrt{2\cdot 9.8\frac{m}{s^2}\cdot 2.1\ m + 0.70^2\frac{m^2}{s^2}} = \fbox{\color[RGB]{192,0,0}{\bm{6.45\ \frac{m}{s}}}}