Velocidad de un pulso y tensión de un cable de telesquí (6649)

, por F_y_Q

El cable de un telesquí tiene una masa de 80.0 kg y un largo de 400 m. Cuando el cable recibe un golpe transversal en un extremo, el pulso se detecta en el otro extremo 12.0 s después:

a) ¿Cuál es la velocidad del pulso generado?

b) ¿Cuál es la tensión del cable?

P.-S.

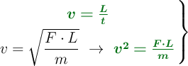
La velocidad de propagación de las ondas se puede expresar de dos modos distintos: como cociente entre la longitud del hilo y el tiempo que tarda el pulso en llegar al otro extreno y en función de la tensión en el hilo, su longitud y su masa.

\left {\color[RGB]{2,112,20}{\bm{v = \frac{L}{t}}}} \atop v = \sqrt{\dfrac{F\cdot L}{m}}\ \to\ {\color[RGB]{2,112,20}{\bm{v^2 = \frac{F\cdot L}{m}}}} \right \}

a) La velocidad de propagación del pulso es:

v = \frac{400\ m}{12\ s} = \fbox{\color[RGB]{192,0,0}{\bm{33.3\ m\cdot s^{-1}}}}



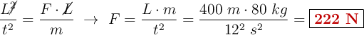
b) Si igualas las dos ecuaciones de la velocidad y despejas el valor de la tensión:

\frac{L\cancel{^2}}{t^2} = \frac{F\cdot \cancel{L}}{m}\ \to\ F = \frac{L\cdot m}{t^2} = \frac{400\ m\cdot 80\ kg}{12^2\ s^2}= \fbox{\color[RGB]{192,0,0}{\bf 222\ N}}