Patrón de interferencias: experimento de Young (2272)

, por F_y_Q

Se hace llegar un haz de luz monocromática de longitud de onda 700 nm perpendicularmente a dos rendijas, que están separadas una distancia de 0.2 mm (experimento de Young). Colocamos una pantalla, suficientemente grande, a una distancia de 0.5 m de las rendijas, perpendicularmente al haz luminoso. Se observa un patrón de interferencia.

a) Respecto al centro de la pantalla, ¿cuál es la posición del primer mínimo en el patrón de interferencia observado?

b) ¿Cuál es la distancia que media desde el centro de la pantalla y la posición del octavo máximo en dicho patrón?

c) ¿Cuál es la distancia entre la tercera y la cuarta franjas brillantes del patrón?

P.-S.

a) La posición del primer mínimo la puedes obtener usando la ecuación de los mínimos de interferencia:

\color[RGB]{2,112,20}{\bm{y_{min} = (2n +1)\cdot \frac{\lambda\cdot L}{2d}}}

Para el primer mínimo «n = 1». Sustituyes y calculas:

y_1 = \frac{3}{2}\cdot \frac{7\cdot 10^{-7}\ m\cdot 0.5\ \cancel{m}}{2\cdot 10^{-4}\ \cancel{m}} = \fbox{\color[RGB]{192,0,0}{\bm{2.63\cdot 10^{-3}\ m}}}


b) Ahora usas la ecuación para los máximos de interferencia:

\color[RGB]{2,112,20}{\bm{y_{max} = n\cdot\frac{\lambda\cdot L}{d}}}

Ahora debes tomar «n = 8» y sustituir el resto de los datos para calcular:

y_8 = 8\cdot \frac{7\cdot 10^{-7}\ m\cdot 0.5\ \cancel{m}}{2\cdot 10^{-4}\ \cancel{m}} = \fbox{\color[RGB]{192,0,0}{\bm{1.4\cdot 10^{-2}\ m}}}


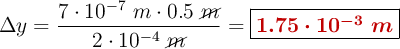
c) La distancia entre franjas brillantes consecutivas es:

\color[RGB]{2,112,20}{\bm{\Delta y = \frac{\lambda\cdot L}{d}}}

Si sustituyes y calculas:

\Delta y = \frac{7\cdot 10^{-7}\ m\cdot 0.5\ \cancel{m}}{2\cdot 10^{-4}\ \cancel{m}} = \fbox{\color[RGB]{192,0,0}{\bm{1.75\cdot 10^{-3}\ m}}}