Efecto Doppler aplicado a un ecógrafo usado para detectar el latido de un feto (8071)

, por F_y_Q

Para detectar el latido del corazón de un feto usamos un ecógrafo. Si la pared ventricular del feto realiza un movimiento armónico simple con 1.80 mm de amplitud y 115 vibraciones por minuto:

a) ¿Cuál es la máxima velocidad lineal de la pared del corazón? Supón que el detector de movimiento en contacto con el abdomen de la madre emite un sonido de 2.0\cdot 10^6\ Hz de frecuencia, cuya velocidad en el tejido es de 1.50 km/s.

b) ¿Cuál es la frecuencia máxima del sonido que llega a la pared del corazón del feto?

c) ¿A qué frecuencia máxima llega al detector el sonido reflejado?

P.-S.

a) La velocidad máxima la obtienes a partir de la energía cinética de la vibración. Igualas ambas expresiones y despejas el valor de la velocidad:

\left E_C= \dfrac{m}{2}\cdot \omega^2\cdot A^2 \atop E_C = \dfrac{m}{2}\cdot v_{m\acute{a}x}^2 \right \}\ \to\ \color[RGB]{2,112,20}{\bf{v_{m\acute{a}x} = \omega\cdot A}}

Escribes la frecuencia angular en función de la frecuencia de los latidos:

\color[RGB]{2,112,20}{\bf{v_{m\acute{a}x}= 2\pi\cdot f\cdot A}}

Sustituyes, teniendo en cuenta que las unidades han de ser homogéneas, y calculas:

v_{m\acute{a}x} = 2\pi\cdot 115\ \cancel{min^{-1}}\cdot \frac{1\ \cancel{min}}{60\ s}\cdot 1.80\ \cancel{mm}\cdot \frac{1\ m}{10^3\ \cancel{mm}}= \fbox{\color[RGB]{192,0,0}{\bm{2.17\cdot 10^{-2}\ \frac{m}{s}}}}


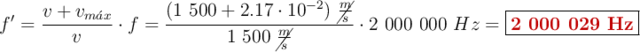
b) En este caso, el sonido se acerca al corazón que está latiendo, por lo que la ecuación del efecto Doppler es:

f^{\prime} = \frac{v + v_{m\acute{a}x}}{v}\cdot f = \frac{(1\ 500 + 2.17\cdot 10^{-2})\ \cancel{\frac{m}{s}}}{1\ 500\ \cancel{\frac{m}{s}}}\cdot 2\ 000\ 000\ Hz = \fbox{\color[RGB]{192,0,0}{\bf 2\ 000\ 029\ Hz}}


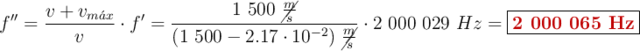
c) Ahora la onda se acerca al detector, tras chocar contra el corazón, por lo que la ecuación a aplicar es:

f^{\prime \prime} = \frac{v + v_{m\acute{a}x}}{v}\cdot f^{\prime} = \frac{1\ 500\ \cancel{\frac{m}{s}}}{(1\ 500 - 2.17\cdot 10^{-2})\ \cancel{\frac{m}{s}}}\cdot 2\ 000\ 029\ Hz = \fbox{\color[RGB]{192,0,0}{\bf 2\ 000\ 065\ Hz}}