Velocidad de un esquiador y distancia que recorre antes de pararse (6186)

, por F_y_Q

Un esquiador inicia su movimiento a partir del reposo, en la parte más alta de una pendiente, sin fricción, de 32 m de altura. Cuando llega a la parte más baja, encuentra una superficie horizontal donde el coeficiente de rozamiento cinético entre los esquís y la nieve es 0.18. Calcula, usando criterios energéticos:

a) La magnitud de la velocidad del esquiador cuando ha bajado 10 m (verticales) desde su punto de partida.

b) La distancia que recorre en la superficie horizontal antes de detenerse, si no se impulsa con los bastones.

P.-S.

Vamos a usar el Principio de Conservación de la Energía Mecánica para resolver el problema:

\color[RGB]{0,112,192}{\bm{E_M(i) = E_M(f) + W_R}}

a) En este primer tramo no hay rozamiento por lo que la ecuación anterior queda como:

E_M(i) = E_M(f)\  \to\ E_P(i) = E_P(f) + E_C(f)

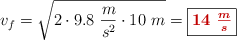
\cancel{m}\cdot g\cdot h_i = \cancel{m}\cdot g\cdot h_f + \frac{\cancel{m}}{2}\cdot v_f^2\ \to\ v_f  = \sqrt{2g(h_i - h_f)}

La diferencia de alturas es de 10 m:

v_f = \sqrt{2\cdot 9.8\ \frac{m}{s^2}\cdot 10\ m} = \fbox{\color[RGB]{192,0,0}{\bm{14\ \frac{m}{s}}}}


b) Ahora sí que hay rozamiento y la ecuación inicial queda como:

E_M(i)  = \cancelto{0}{E_M(f)} + W_R

La energía mecánica es nula porque tomamos como referencia la zona horizontal (h = 0) y el esquiador se detiene (v = 0):

\cancel{m}\cdot \cancel{g}\cdot h_i = \mu\cdot \cancel{m}\cdot \cancel{g}\cdot d\ \to\ d = \frac{h_i}{\mu} = \frac{32\ m}{0.18} = \fbox{\color[RGB]{192,0,0}{\bf 177.8\ m}}