Velocidad de un coche cuando alcanza a un camión (6802)

, por F_y_Q

Un camión que se desplaza a velocidad constante de 72\ \textstyle{km\over h} adelanta a un coche que se encuentra parado en la carretera. Si este arranca 6 s después con una aceleración constante de 2.5\ \textstyle{m\over s^2} calcula la velocidad del coche cuando alcanza al camión, expresada en m\cdot s^{-1} .

P.-S.

Debes expresar la velocidad del camión en m/s para que el problema sea homogéneo:

72\ \frac{\cancel{km}}{\cancel{h}}\cdot \frac{10^3\ m}{1\ \cancel{km}}\cdot \frac{1\ \cancel{h}}{3.6\cdot 10^3\ s} = \color[RGB]{0,112,192}{\bm{20\ \frac{m}{s}}}

Durante los seis segundos que el coche tarda en comenzar a moverse, el camión ha recorrido:

x_0 = 20\ \frac{m}{\cancel{s}}\cdot 6\ \cancel{s} = \color[RGB]{0,112,192}{\bf 120\ m}

El camión sigue un MRU, mientras que el coche sigue un MRUA. Sus ecuaciones de la posición, tomando como referencia la posición inicial del coche y teniendo en cuenta que el coche está en marcha seis segundos menos que el camión, son:

\left x_{cam} = x_0 + v_{cam}\cdot t \atop x_{coc} = \cancelto{0}{v_0}\cdot t + \frac{a_{coc}}{2}\cdot (t - 6)^2 \right \}\ \to\ \color[RGB]{0,112,192}{\bm{120 + 20t = 1.25(t - 6)^2}}

La ecuación anterior se obtiene tras sustituir los valores de la velocidad y la aceleración. Ahora tienes que resolver la ecuación de segundo grado:

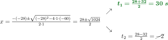
120 + 20t = 1.25t^2 - 15t + 45\ \to\ \color[RGB]{2,112,20}{\bm{t^2 - 28t - 60 = 0}}

\begin{array}{ccc} & & \color[RGB]{2,112,20}{\bm{t_1 = \frac{28+32}{2}=30\ s}}\\ & \nearrow &\\ x=\frac{-(-28)\pm \sqrt{(-28)^2-4 \cdot1\cdot(-60)}}{2 \cdot1}=\frac{28\pm \sqrt{1024}}{2}& &\\ & \searrow &\\& &t_2= \frac{28-32}{2}= \cancel{-2}\end{array}

El único resultado con significado físico es el positivo, es decir, 30 s. El coche estará en marcha:

t_{coc} = (30 - 6)\ s = \color[RGB]{0,112,192}{\bf 24\ s}

La velocidad será, por lo tanto:

v_{coc}  = \cancelto{0}{v_0} + a_{coc}\cdot t\ \to\ v_{coc}= 2.5\ \frac{m}{s\cancel{^2}}\cdot 24\ \cancel{s} = \fbox{\color[RGB]{192,0,0}{\bm{60\ \frac{m}{s}}}}