Velocidad de un coche conociendo las marcas de frenado y su aceleración (4827)

, por F_y_Q

En un accidente, un auto deja sobre la carretera una marca de 80 m en linea recta. Mientras frenaba, el módulo de la aceleración fue de 2.5\ m\cdot s^{-2}. ¿Qué velocidad llevaba el coche cuando comenzó la frenaba y cuánto tiempo demoró en detenerse?

P.-S.

Puedes averiguar la velocidad inicial del vehículo a partir de la ecuación:

\color[RGB]{2,112,20}{\bm{v^2 = v_0^2 - 2ad}}

Despejas el valor de la velocidad inicial y haces que la velocidad final sea cero, que será cuando el auto haya frenado:

v_0 = \sqrt{2ad} = \sqrt{2\cdot 2.5\ m\cdot s^{-2}\cdot 80\ m} = \fbox{\color[RGB]{192,0,0}{\bm{20\ m\cdot s^{-1}}}}


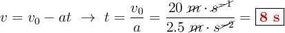
El tiempo que tardó en detenerse, una vez averiguada la velocidad al iniciar la frenada, es:

v = v_0 - at\ \to\ t = \frac{v_0}{a} = \frac{20\ \cancel{m}\cdot \cancel{s^{-1}}}{2.5\ \cancel{m}\cdot s^\cancel{{-2}}}} = \fbox{\color[RGB]{192,0,0}{\bf 8\ s}}