Velocidad de un carro que deforma dos muelles distintos (6319)

, por F_y_Q

Un carro de 5 000 kg de masa lleva una velocidad v y es detenido por dos resortes. Después de que el primer resorte (k _1) se comprime 40 cm, entra en acción el segundo resorte (k _2) . El carro se detiene 60 cm después de hacer contacto con el primer resorte. Considera que las constantes elásticas de los resortes son: k_1 = 2\ 000\ \textstyle{N\over m} y k_2 = 5\ 000\ \textstyle{N\over m} . Calcula la velocidad del carro al chocar contra los resortes.

P.-S.

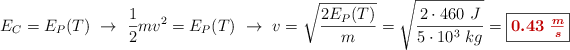
La energía cinética del carro se va a transferir a los resortes que lo frenan, suponiendo que no hay degradación de energía, por lo que la suma de las energías potenciales elásticas de cada uno de los resortes tiene que ser igual a la energía cinética del carro.

En primer lugar puedes calcular las energía potenciales elásticas de cada resorte:

E_P(1) = \frac{1}{2}k_1\cdot \Delta x_1^2 = \frac{\cancel{2}\cdot 10^3}{\cancel{2}}\ \frac{N}{\cancel{m}}\cdot 0.6^2\ m\cancel{^2} = \color[RGB]{2,112,20}{\bf 360\ J}

E_P(2) = \frac{1}{2}k_2\cdot \Delta x_2^2 = \frac{5\cdot 10^3}{2}\ \frac{N}{\cancel{m}}\cdot 0.2^2\ m\cancel{^2} = \color[RGB]{2,112,20}{\bf 100\ J}

E_P(T) = E_P(1) + E_P(2) = (360 + 100) = \color[RGB]{0,112,192}{\bf 460\ J}

E_C = E_P(T)\ \to\ \frac{1}{2}mv^2 = E_P(T)\ \to\ v = \sqrt{\frac{2E_P(T)}{m}} = \sqrt{\frac{2\cdot 460\ J}{5\cdot 10^3\ kg}} = \fbox{\color[RGB]{192,0,0}{\bm{0.43\ \frac{m}{s}}}}