Velocidad de un auto 50 s antes de detenerse

, por F_y_Q

Un auto va con una velocidad de 70 m/s cuando comienza a frenar y en 2,5 minutos alcanza una velocidad de 144 km/h. Calcula la velocidad del auto 50 s antes de que se detenga, suponiendo que su aceleración es constante.

P.-S.

En este ejercicio es necesario homogeneizar las unidades de los datos. Vamos a trabajar en el Sistema Internacional y para ello hacemos los cambios de unidades pertinentes:
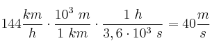
144\frac{km}{h}\cdot \frac{10^3\ m}{1\ km}\cdot \frac{1\ h}{3,6\cdot 10^3\ s} = 40\frac{m}{s}
2,5\ min\cdot \frac{60\ s}{1\ min} = 150\ s
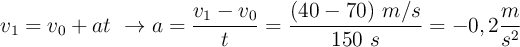
Ahora podemos calcular la aceleración con la que frena el auto:
v_1 = v_0 + at\ \to a = \frac{v_1 - v_0}{t} = \frac{(40 - 70)\ m/s}{150\ s} = -0,2\frac{m}{s^2}
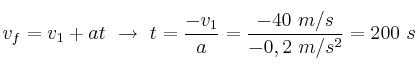
La aceleración es negativa porque el auto está frenando. Ahora calculamos el tiempo que tardará en detenerse y para ello tomamos como momento inicial la velocidad de 40 m/s. La final tendrá que ser cero:
v_f = v_1 + at\ \to\ t = \frac{-v_1}{a} = \frac{-40\ m/s}{-0,2\ m/s^2} = 200\ s
Tendrán que pasar 200 s más para que se detenga el auto. Como queremos saber qué velocidad llevará 50 s antes de detenerse, podemos usar la misma ecuación pero para un tiempo de 150 s:

v_2 = v_1 + at\ \to\ v_2 = 40\frac{m}{s} - 0,2\frac{m}{s^2}\cdot 150\ s = \bf 10\frac{m}{s}