Velocidad de lanzamiento en un tiro parabólico 0001

, por F_y_Q

En un lanzamiento parabólico, la altura máxima es de 7,2 m y en dicho punto su velocidad es de 9 m/s. Determina la velocidad inicial del lanzamiento.

P.-S.

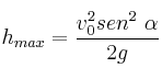
La altura máxima que alcanza el proyectil sigue la ecuación:
h_{max} = \frac{v_0^2sen^2\ \alpha}{2g} (Ec. 1)
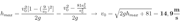
En el punto de máxima altura, la velocidad vertical es nula por lo que la velocidad de 9 m/s corresponde solo a la componente horizontal:
v_x = v_0cos\ \alpha\ \to\ cos\ \alpha= \frac{9}{v_0}
Si aplicamos la ecuación fundamental de la trigonometría:
sen^2\alpha + cos^2\alpha = 1\ \to\ sen^2\alpha = 1 - cos^2\alpha
Podemos sustituir en la ecuación (Ec.1):

h_{max} = \frac{v_0^2[1 - (\frac{9}{v_0})^2]}{2g} = \frac{v_0^2 - \frac{81v_0^2}{v_0^2}}{2g}\ \to\ v_0 = \sqrt{2gh_{max} + 81} = \bf 14,9\frac{m}{s}