Velocidad de lanzamiento de un proyectil en movimiento vertical 0001

, por F_y_Q

Halla la velocidad con la que fue lanzado un proyectil hacia arriba si ésta se reduce a la tercera parte cuando ha ascendido 40 metros.

P.-S.

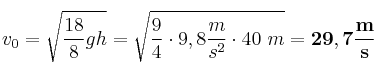
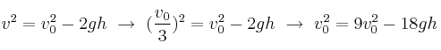
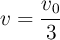
Cuando está a una altura de 40 m la velocidad del proyectil es v = \frac{v_0}{3}. Aplicando la ecuación:
v^2 = v_0^2 - 2gh\ \to\ (\frac{v_0}{3})^2 = v_0^2 - 2gh\ \to\ v_0^2 = 9v_0^2 - 18gh
Despejamos el valor de la velocidad inicial:

v_0 = \sqrt{\frac{18}{8}gh} = \sqrt{\frac{9}{4}\cdot 9,8\frac{m}{s^2}\cdot 40\ m} = \bf 29,7\frac{m}{s}